地址:廣州市南沙區大崗鎮智新一路8號聯東U谷廣州南沙國際企業港7棟5樓
產品咨詢:13392693259
耗材電話:18998328368
售后服務:020-87684117
傳 真:020-87684846
Email:info@gdana.com
網址:http://m.250zao.com/
原標題:HJ 787-2016固體廢物鉛和鎘的測定石墨爐原子吸收分光光度法
前言
為貫徹《中華人民共和國環境保護法》和《中華人民共和國固體廢物污染環境防治法》,保護環境,保障人體健康,規范固體廢物及固體廢物浸出液中鉛和鎘的測定方法,制定本標準。
本標準規定了測定固體廢物及固體廢物浸出液中鉛和鎘的石墨爐原子吸收分光光度法。
本標準為首次發布。
本標準的附錄A、附錄B為資料性附錄。
本標準由環境保護部科技標準司組織制訂。
本標準主要起草單位:江蘇省環境監測中心。
本標準驗證單位:南京市環境監測中心站、浙江省環境監測中心、上海市環境監測中心、常州市環境監測中心站、馬鞍山市環境監測中心站、連云港市環境監測中心站。
本標準環境保護部2016年3月29日批準。
本標準自2016年5月1日起實施。
本標準由環境保護部解釋。
固體廢物鉛和鎘的測定石墨爐原子吸收分光光度法
警告:實驗中使用的硝酸、高氯酸具有強氧化性和腐蝕性,鹽酸、氫氟酸具有強揮發性和腐蝕性,操作時應按規定要求佩戴防護器具,溶液配制及樣品預處理過程應在通風櫥中進行操作。
1 適用范圍
本標準規定了測定固體廢物及固體廢物浸出液中鉛和鎘的石墨爐原子吸收分光光度法。
本標準適用于固體廢物及固體廢物浸出液中鉛和鎘的測定。
當固體廢物取樣量為0.5 g,消解后定容體積為25 ml 時,鉛和鎘的方法檢出限分別為0.3 mg/kg和0.1 mg/kg,測定下限分別為1.2 mg/kg和0.4 mg/kg。
當固體廢物浸出液取樣體積為 50 ml,消解后定容至50 ml時,鉛和鎘的方法檢出限分別為0.9 μg/L和0.6 μg/L,測定下限分別為3.6 μg/L和2.4 μg/L。
2 規范性引用文件
本標準內容引用了下列文件或其中的條款。凡是不注明日期的引用文件,其有效版本適用于本標準。
HJ/T 20 工業固體廢物采樣制樣技術規范
HJ/T 298 危險廢物鑒別技術規范
HJ/T 299 固體廢物 浸出毒性浸出方法 硫酸硝酸法
HJ/T 300 固體廢物 浸出毒性浸出方法 醋酸緩沖溶液法
HJ 557 固體廢物 浸出毒性浸出方法 水平振蕩法
3 方法原理
固體廢物或固體廢物浸出液經酸消解后,注入石墨爐原子化器中,經過干燥、灰化和原子化,成為基態原子蒸氣,對元素空心陰極燈或無極放電燈發射的特征輻射譜線產生選擇性吸收。在一定濃度范圍內,其吸收強度與試樣中待測物的質量濃度成正比。
4 干擾和消除
當樣品中Ca的質量濃度高于500 mg/L、Fe的質量濃度高于50 mg/L、Mn的質量濃度高于25 mg/L時,對鉛和鎘的測定產生干擾,可采用樣品稀釋法或標準加入法消除其干擾。固體廢物基體成分較為復雜,加入基體改進劑磷酸二氫銨,可消除有機物等引起的基體干擾。當 樣品基體成分不明時,或加標回收率超過本方法質控要求范圍時,應采用標準加入法進行測定并計算結果,參見附錄A。
5 試劑和材料
除非另有說明,分析時均使用符合國家標準的分析純試劑,實驗用水為新制備的去離子水。
5.1 硫酸:ρ(H2SO 4)=1.84 g/ml,優級純。
5.2 硝酸:ρ(HNO3)=1.42 g/ml,優級純。
5.3 鹽酸:ρ(HCl)=1.19 g/ml,優級純。
5.4 氫氟酸:ρ(HF)=1.49 g/ml,優級純。
5.5 高氯酸:ρ(HClO4)=1.68 g/ml,優級純。
5.6 過氧化氫:φ(H2O2)=30%,優級純。
5.7 金屬鉛:光譜純。
5.8 金屬鎘:光譜純。
5.9 磷酸二氫銨(NH4H2PO 4):優級純。
5.10 硝酸溶液:1+9(v/v),用硝酸(5.2)配制。
5.11 硝酸溶液:1+99(v/v),用硝酸(5.2)配制。
5.12 鹽酸溶液:1+1(v/v),用鹽酸(5.3)配制。
5.13 基體改進劑:磷酸二氫銨溶液。準確稱取13.8 g(精確至0.0001 g)磷酸二氫銨(5.9),用實驗用水溶解并定容至1000 ml。
5.14 鉛標準貯備液:ρ=1000 mg/L。
準確稱取1.000 g(精確至0.0001 g)金屬鉛(5.7),加入15 ml硝酸(5.2)溶解,必要時可加熱溶解。全量轉入1000 ml容量瓶中,用硝酸溶液(5.11)定容至標線,搖勻。亦可使用 市售有證標準溶液。
5.15 鎘標準貯備液:ρ=1000 mg/L。準確稱取1.000 g(精確至0.0001 g)金屬鎘(5.8),加入15 ml硝酸(5.2)溶解,必要時可加熱溶解。全量轉入1000 ml容量瓶中,用硝酸溶液(5.11)定容至標線,搖勻。亦可使用市售有證標準溶液。
5.16 鉛標準中間液:ρ=100 mg/L。準確移取鉛標準貯備液(5.14)10.0 ml于100 ml容量瓶中,用硝酸溶液(5.11)定容至標線,搖勻。臨用現配。
5.17 鎘標準中間液:ρ=100 mg/L。準確移取鎘標準貯備液(5.15)10.0 ml于100 ml容量瓶中,用硝酸溶液(5.11)定容至標線,搖勻。臨用現配。
5.18 鉛標準使用液:ρ=1.00 mg/L。準確移取鉛標準中間液(5.16)1.00 ml于100 ml容量瓶中,用硝酸溶液(5.11)定容至標線,搖勻。臨用現配。
5.19 鎘標準使用液:ρ=1.00 mg/L。準確移取鎘標準中間液(5.17)1.00 ml于100 ml容量瓶中,用硝酸溶液(5.11)定容至標線,搖勻。臨用現配。
5.20 高純氬氣:純度不低于 99.999%。
6 儀器和設備
6.1 石墨爐原子吸收分光光度計(具有背景校正功能)。
6.2 鉛空心陰極燈、鎘空心陰極燈。
6.3 電熱板或石墨消解儀:具有溫控功能(溫度穩定±5 ℃),最高溫度可設定至200 ℃。
6.4 微波消解儀:輸出功率1000 W~1600 W。具有可編程控制功能,可對溫度、壓力和時間(升溫時間和保持時間)進行全程監控;具有安全防護功能。
6.5 分析天平:精度為0.1 mg。
6.6 聚四氟乙烯坩堝:50 ml。
6.7 篩:非金屬篩,100目。
6.8 一般實驗室常用儀器和設備。
7 樣品
7.1 樣品采集與保存 按照HJ/T 20和HJ/T 298的相關規定進行固體廢物樣品的采集和保存。
7.2 樣品制備
7.2.1 固體廢物 按照HJ/T 20的相關規定進行固體廢物樣品的制備。對于固態廢物或可干化半固態廢物樣品,準確稱取10 g(m1,精確至0.01 g)樣品,自然風干或冷凍干燥,再次稱重(m2,精確至 0.01 g),研磨,全部過100目篩(6.7)備用。
7.2.2 固體廢物浸出液 按照HJ/T 299、HJ/T 300或HJ 557的相關規定進行固體廢物浸出液的制備。浸出液若不能及時進行分析,應加硝酸(5.2)酸化至pH<2,可保存14 d。
7.3 試樣的制備
7.3.1 固體廢物試樣
7.3.1.1 電熱板消解法
稱取0.25 g~1.00 g過篩后的樣品(m3,精確至0.1 mg)于50 ml聚四氟乙烯坩堝(6.6)中。用少量水潤濕樣品后加入5 ml鹽酸(5.3),于通風櫥內的電熱板(6.3)上約120 ℃加熱,使樣品初步消解,待蒸發至約剩3 ml時取下稍冷。加入5 ml硝酸(5.2)、5 ml氫氟酸(5.4)、 3 ml高氯酸(5.5),加蓋后于電熱板上約160 ℃加熱1 h。開蓋,電熱板溫度控制在180℃±5 ℃繼續加熱,并經常搖動坩堝。當加熱至冒濃白煙時,加蓋使黑色有機碳化物充分分解。待坩堝壁上的黑色有機物消失后,開蓋,驅趕白煙并蒸至內容物呈粘稠狀。視消解情況,可補加3 ml硝酸(5.2)、3 ml氫氟酸(5.4)和1 ml高氯酸(5.5),重復上述消解過程。當白煙再次冒盡且內容物呈粘稠狀時,取下坩堝稍冷,加入1 ml硝酸溶液(5.11)溫熱溶解可溶性殘渣,冷卻后全量轉移至25 ml容量瓶,用適量實驗用水淋洗坩堝蓋和內壁,洗液并入25 ml容量瓶,用實驗用水定容至標線,搖勻,待測。如果消解液中含有未溶解顆粒,需進行過濾、離心分離或者自然沉降。
注1:加熱時勿使樣品有大量的氣泡冒出,否則會造成樣品的損失。
注2:若固體廢物中鉛或鎘的含量較高,試樣消解后定容體積可根據實際情況確定。
注3:若使用石墨消解儀替代電熱板消解樣品,可參照上述步驟進行。
7.3.1.2 微波消解法
稱取0.25 g~1.00 g過篩后的樣品(m3,精確至0.1 mg)于微波消解罐中。用少量水潤濕樣品后加入5 ml硝酸(5.2)、5 ml鹽酸(5.3)、3 ml氫氟酸(5.4)和1 ml 過氧化氫(5.6),按照表1的升溫程序進行消解。冷卻后將微波消解罐中的內容物全量轉移至50 ml 聚四氟乙烯坩堝,加入1 ml高氯酸(5.5),置于電熱板上170℃~180℃驅趕白煙,至內容物呈粘稠狀。取下坩堝稍冷,加入1 ml硝酸溶液(5.11),溫熱溶解可溶性殘渣,冷卻后全量轉移至25 ml容量瓶,用適量實驗用水淋洗坩堝蓋和內壁,洗液并入25 ml容量瓶,用實驗用水定容至標線,搖勻,待測。如果消解液中含有未溶解顆粒,需進行過濾、離心分離或者自然沉降。
表1 固體廢物微波消解法升溫程序參考表
7.3.2 固體廢物浸出液試樣
7.3.2.1 電熱板消解法
量取50 ml浸出液(7.2.2)于150 ml三角瓶中,加入5 ml硝酸(5.2),搖勻。在三角瓶口插入小漏斗,置于電熱板上120℃加熱,在微沸狀態下將樣品加熱至約5 ml,取下冷卻。加入3 ml硝酸(5.2),加入1 ml高氯酸(5.5),直至消解完全(消解液澄清,或消解液色澤及透明度不再變化),繼續于180 ℃蒸發至近干,取下冷卻,加入1 ml硝酸溶液(5.11),溫熱溶解可溶性殘渣,冷卻后用適量實驗用水淋洗小漏斗和三角瓶內壁,將消解液全量轉移至50 ml容量瓶,用實驗用水定容至標線,搖勻,待測。如果消解液中含有較多雜質,需進行過濾、離心分離或者自然沉降。
7.3.2.2 微波消解法
量取50 ml浸出液(7.2.2)(可根據消解罐容積和樣品濃度高低確定浸出液量取體積,最終溶液體積不得超過儀器規定的限值)于微波消解罐中,加入5 ml硝酸(5.2),按說明書的要求蓋緊消解罐。將消解罐放在微波爐轉盤上。按照表2的升溫程序進行消解。消解結束后,待消解罐在微波消解儀內冷卻至室溫后取出。放至通風櫥內小心打開消解罐的蓋子,釋放其中的氣體。將消解液全量轉移至聚四氟乙烯坩堝,用適量實驗用水淋洗消解罐內壁,洗液并入聚四氟乙烯坩堝,在電熱板上于微沸狀態下加熱至近干。用適量實驗用水淋洗坩堝內壁,將坩堝內容物及洗液全量轉移至50 ml容量瓶,用實驗用水定容至標線,搖勻,待測。如果消解液中含有較多雜質,需進行過濾、離心分離或者自然沉降。
表2 固體廢物浸出液微波消解法升溫程序參考表
注4:由于固體廢物種類較多,所含有機質差異較大,在消解時各種酸的用量可視消解情況酌情增減;電熱板溫度不宜太高,防止聚四氟乙烯坩堝變形;樣品消解時,須防止蒸干,以免待測元素損失。
7.3.3 空白樣品的制備
7.3.3.1 固體廢物空白使用空容器按照7.3.1的步驟制備固體廢物空白試樣。
7.3.3.2 固體廢物浸出液空白
使用實驗用水配制成浸提劑,按照7.2.2制備固體廢物浸出液空白,按照7.3.2的步驟進行消解。
8 分析步驟
8.1 儀器參考條件
不同型號石墨爐原子吸收分光光度計的最佳測定條件不同,可根據儀器使用說明書要求優化測試條件。儀器參考測量條件見表3。
表3 儀器參考測量條件
8.2 標準曲線的繪制
8.2.1 鉛標準曲線系列
分別準確移取0.00 ml、0.50 ml、1.00 ml、2.00 ml、4.00 ml和5.00 ml 鉛標準使用液(5.18)于一組100 ml容量瓶中,用硝酸溶液(5.11)定容至標線,搖勻。此標準系列含鉛分別為0.00 μg/L、5.00 μg/L、10.0 μg/L、20.0 μg/L、40.0 μg/L和50.0 μg/L。按照儀器參考條件(8.1),用硝酸溶液(5.11)調節儀器零點后,從低濃度到高濃度依次吸入標準系列,測量相應的吸光度,以相應吸光度為縱坐標,以鉛標準系列質量濃度為橫坐標,建立鉛的校準曲線。
8.2.2 鎘標準曲線系列
分別準確移取0.00 ml、0.10 ml、0.20 ml、0.30 ml、0.40 ml和0.50 ml鎘標準使用液(5.19)于一組200 ml容量瓶中,用硝酸溶液(5.11)定容至標線,搖勻。此標準系列含鎘分別為0.00 μg/L、0.50 μg/L、1.00 μg/L、1.50 μg/L、2.00 μg/L和2.50 μg/L。按照儀器參考條件(8.1),用硝酸溶液(5.11)調節儀器零點后,從低濃度到高濃度依次吸入標準系列,測量相應的吸光度,以相應吸光度為縱坐標,以鎘標準系列質量濃度為橫坐標,建立鎘的校準曲線。
8.3 空白樣品測定
制備好的空白試樣(7.3.3),按照與建立校準曲線相同的條件進行測定。
8.4 樣品測定
制備好的試樣(7.3.1或7.3.2),按照與建立校準曲線相同的條件進行測定。
9 結果計算與表示
9.1 結果計算
9.1.1 固體廢物
9.1.1.1 固態或可干化半固態固體廢物
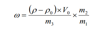
固體廢物中待測元素的含量 w (mg/kg)按照公式(1)計算:
式中:
W ——固體廢物中待測元素的含量,mg/kg;
P ——由校準曲線查得試樣中元素的質量濃度,mg/L;
P0 ——實驗室空白試樣中元素的質量濃度,mg/L;
V0 ——消解后試樣的定容體積,ml;
m1 ——干燥前固體廢物樣品的稱取量,g;
m2 ——干燥后固體廢物樣品的質量,g;
m3 ——研磨過篩后試樣的稱取量,g。
9.1.1.2 液態或無需干化的半固態固體廢物
9.1.2 固體廢物浸出液
9.2 結果表示
對于固體廢物,當測定結果小于100 mg/kg時,保留小數點后一位;當測定結果大于或等于100 mg/kg時,保留三位有效數字。對于固體廢物浸出液,當測定結果小于1.00 mg/L時,保留小數點后兩位;當測定結果大于或等于1.00 mg/L時,保留三位有效數字。
10 精密度和準確度
10.1 精密度
六家實驗室分別對含鉛、鎘的ESS-1、GSS-1和ISS-2標準樣品進行了6次重復測定:
鉛的實驗室內相對標準偏差分別為1.3%~3.3%、2.4%~3.7%、1.6%~2.4%;實驗室間相對標準偏差分別為1.3%、1.4%、0.7%;重復性限r分別為1.5 mg/kg、8.7 mg/kg、919 mg/kg;再現性限R分別為1.7 mg/kg、8.7 mg/kg、935 mg/kg。鎘的實驗室內相對標準偏差分別為3.7%~ 7.4%、3.3%~5.1%、1.6%~11.1%;實驗室間相對標準偏差分別為2.4%、3.1%、1.7%;重復性限r分別為0.01 mg/kg、0.48 mg/kg、9.50 mg/kg;再現性限R分別為0.01 mg/kg、0.57 mg/kg、9.89 mg/kg。
六家實驗室分別對含鉛、鎘的低、中、高三種不同含量的固廢樣品浸出液進行了6 次重 復測定:
鉛的實驗室內相對標準偏差分別為4.0%~7.7%、1.6%~4.2%、4.6%~9.2%;實驗室間相對標準偏差分別為2.8%、2.2%、3.6%;重復性限r分別為0.05 mg/L、0.07 mg/L、0.41 mg/L; 再現性限R分別為0.06 mg/L、0.08 mg/L、0.43 mg/L。鎘的實驗室內相對標準偏差分別為6.4%~ 9.9%、4.3%~8.3%、3.6%~7.9%;實驗室間相對標準偏差分別為8.6%、5.4%、4.5%;重復性限r分別為0.02 mg/L、0.06 mg/L、0.09 mg/L;再現性限R分別為0.03 mg/L、0.07 mg/L、0.11 mg/L。
精密度數據詳見附表B.1和附表B.2。
10.2 準確度
六家實驗室分別對含鉛、鎘的ESS-1、GSS-1和ISS-2標準樣品進行了測定:
鉛的相對誤差分別為-1.8%~2.0%、-2.0%~1.2%、-1.0%~0.8%;相對誤差最終值分別為-0.2%±2.7%、-0.5%±2.7%、-0.1%±1.5%。鎘的相對誤差分別為-0.4%~5.6%、-4.3%~4.4%、 -2.1%~2.3%;相對誤差最終值分別為2.2%±4.9%、-0.5%±6.1%、0.4%±3.4%。
六家實驗室分別對含鉛、鎘的三種不同濃度的固體廢物浸出液樣品進行加標回收測試:
鉛加標回收率分別為93.2%~105%、87.9%~102%、83.5%~97.5%;加標回收率最終值分別為96.9%±8.32%、92.4%±10.3%、89.8%±11.2%。鎘加標回收率分別為93.2%~106%、84.6%~102%、85.3%~93.8%;加標回收率最終值分別為97.9%±9.42%、91.1%±12.2%、89.0% ±6.28%。準確度數據詳見附表B.3和附表B.4。
11 質量保證和質量控制
11.1 每批樣品至少做2個實驗室空白,其測定結果應低于測定下限。
11.2 每次分析應繪制校準曲線,相關系數應≥0.999。否則需重新繪制校準曲線。
11.3 每10個樣品應分析一個校準曲線的中間濃度點,其測定結果與校準曲線該點濃度的相對偏差應≤10%。否則需重新繪制標準曲線。
11.4 每分析20個樣品應進行一次儀器零點校正。
11.5 每批樣品至少按10%的比例進行平行雙樣測定,樣品數量少于10個時,應至少測定一個平行雙樣,兩次測定結果的相對偏差≤20%。
11.6 每批樣品至少應做10%加標回收試驗,樣品數量少于10個時至少做一個,加標回收率應為80%~120%。
11.7 成批量測定樣品時,每10個樣品為一組,加測一個待測元素的質控樣品,用以檢查儀器的漂移程度。當質控樣品測定值超出允許范圍時,需用標準溶液對儀器重新調整,再繼續測定。
12 廢物處理
實驗過程中產生的廢液和廢物應分類收集,委托具有資質的單位處置。
13 注意事項
13.1 實驗所使用的坩堝和玻璃容器均須用硝酸溶液(5.10)浸泡12 h以上,并用自來水和實驗用水依次沖洗干凈,置于潔凈的環境中晾干。對于新使用的或疑似受污染的容器,應用熱鹽酸溶液(5.12)浸泡(溫度高于80 ℃,低于沸騰溫度)至少2 h,再用熱硝酸溶液(5.10)浸泡至少2 h,并用自來水和實驗用水依次沖洗干凈,置于潔凈的環境中晾干。
13.2 在樣品溶液加熱至近干時,溫度不宜太高,以免崩濺。
附錄A
(資料性附錄)
標準加入法
A.1 校準曲線繪制方法
分別量取四份等量待測試樣(濃度為Cx),配制總體積相同的四份溶液。第一份不加標準溶液,第二、三、四份分別按比例加入不同濃度的標準溶液,四份溶液的濃度分別為:Cx、Cx+Co、Cx+2Co、Cx+3Co;加入標準溶液Co的濃度約等于0.5倍量的試樣濃度,即Co≈0.5Cx。
用空白溶液調零,在相同條件下依次測定四份溶液的吸光度。以吸光度為縱坐標,加入標準溶液的濃度為橫坐標,繪制校準曲線,曲線反相延伸與橫坐標的交點即為待測試樣的濃度。
待測試樣濃度與對應吸光度的關系見圖A.1。
A.2 注意事項
A.2.1 本方法只適用于待測樣品濃度與吸光度呈線性的區域。
A.2.2 加入標準溶液所引起的體積誤差不應超過0.5%。
A.2.3 本方法只能消除基體效應造成的影響,不能消除背景吸收的影響。
A.3 標準加入法的適用性判斷
測定待測試樣的吸光度為A,從校準曲線上查得濃度為x。再向待測試樣中加入標準溶液,加標濃度為s,測定其吸光度為B,從校準曲線上查得濃度為y。按照公式(B.1)計算待測試樣的濃度c:
附錄B
(資料性附錄)
方法的精密度和準確度
附表B.1、B.2、B.3、B.4為本方法的精密度和準確度匯總表。

上一篇:無